Мерзляк 8 класс 533

Алгебра 8 класс мерзляк 147. Мерзляк 8 класс рабочие тетради фото. Задания 8 класс мерзляк алгебра корень. Гдз по математике 6 класс номер 533. Алгебра 8 класс номер 109.
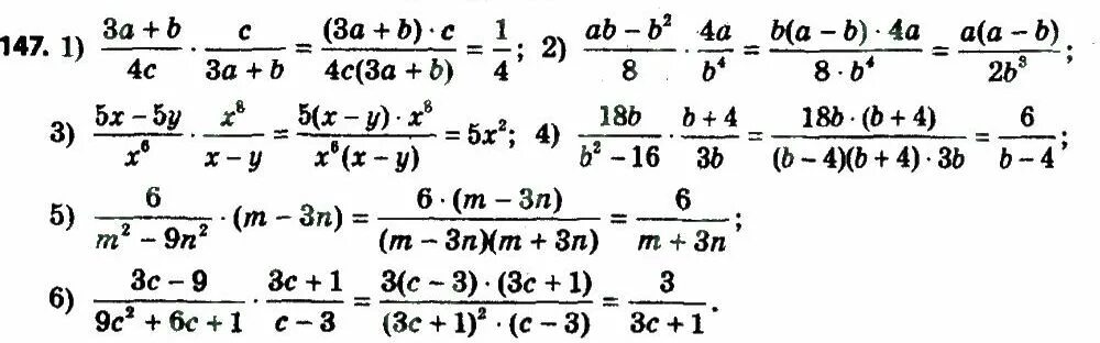
Алгебра 8 класс мерзляк 147. Мерзляк 8 класс рабочие тетради фото. Задания 8 класс мерзляк алгебра корень. Гдз по математике 6 класс номер 533. Алгебра 8 класс номер 109.
Учебник алгебра 10 класс мерзляк. Мерзляк 8 класс 533. Контрольные работы 8 класс углубленное изучение. Подготовка к всероссийским впр 5 класс математика е в буцко. Алгебра 8 класс мерзляк номер 109.
Учебник алгебра 10 класс мерзляк. Мерзляк 8 класс 533. Контрольные работы 8 класс углубленное изучение. Подготовка к всероссийским впр 5 класс математика е в буцко. Алгебра 8 класс мерзляк номер 109.
Мерзляк 8 класс 533. Алгебра 7 класс мерзляк номер 1035. Мерзляк 8 класс 533. Математика 5 класс 2 часть номер 533. Мерзляк 8 класс 533.
Мерзляк 8 класс 533. Алгебра 7 класс мерзляк номер 1035. Мерзляк 8 класс 533. Математика 5 класс 2 часть номер 533. Мерзляк 8 класс 533.
Алгебра 8 класс мерзляк номер 356. Учебник по алгебре 8 класс. Мерзляк 8 класс 533. Алгебра 8 класс мерзляк рабочая тетрадь. Алгебра 8 класс мерзляк номер 400.
Алгебра 8 класс мерзляк номер 356. Учебник по алгебре 8 класс. Мерзляк 8 класс 533. Алгебра 8 класс мерзляк рабочая тетрадь. Алгебра 8 класс мерзляк номер 400.
Мерзляк 8 класс 533. Алгебра 8 класс мерзляк учебник. Гдз по алгебре 8 класс мерзляк упр. Мерзляк 8 класс алгебра степени. Мерзляк 8 класс 533.
Мерзляк 8 класс 533. Алгебра 8 класс мерзляк учебник. Гдз по алгебре 8 класс мерзляк упр. Мерзляк 8 класс алгебра степени. Мерзляк 8 класс 533.
Алгебра 8 класс мерзляк 358. Гдз алгебра мерзляк 8 класс номер 207. Геометрия 8 класс мерзляк номер 533. Мерзляк 8 класс 533. Гдз по алгебре 8 класс.
Алгебра 8 класс мерзляк 358. Гдз алгебра мерзляк 8 класс номер 207. Геометрия 8 класс мерзляк номер 533. Мерзляк 8 класс 533. Гдз по алгебре 8 класс.
Геометрия 8 класс ном 533. Алгебра 7 класс номер 1035. Алгебра 8 класс мерзляк учебник. Гдз геометрия 8 класс мерзляк. Гдз алгебра 8 класс мерзляк.
Геометрия 8 класс ном 533. Алгебра 7 класс номер 1035. Алгебра 8 класс мерзляк учебник. Гдз геометрия 8 класс мерзляк. Гдз алгебра 8 класс мерзляк.
Мерзляк 8 класс 533. Мерзляк 8 класс 533. Номер 1035 по алгебре 7 класс мерзляк. Гдз по геометрии 8 класс номер 534. Рабочая тетрадь по геометрии 7 класс.
Мерзляк 8 класс 533. Мерзляк 8 класс 533. Номер 1035 по алгебре 7 класс мерзляк. Гдз по геометрии 8 класс номер 534. Рабочая тетрадь по геометрии 7 класс.
Гдз по геометрии 8 класс мерзляк. Математика 5 класс номер 533. Мерзляк 8 класс рабочие тетради фото. Самостоятельная работа рациональные дроби 8 класс мерзляк. Впр 8 класс алгебра.
Гдз по геометрии 8 класс мерзляк. Математика 5 класс номер 533. Мерзляк 8 класс рабочие тетради фото. Самостоятельная работа рациональные дроби 8 класс мерзляк. Впр 8 класс алгебра.
Математика 6 класс мерзляк учебник номер 533. Геометрия мерзляк номер 534. Мерзляк 8 класс 533. Решение уравнений 8 класс алгебра мерзляк. Контрольная по алгебре 8 класс мерзляк.
Математика 6 класс мерзляк учебник номер 533. Геометрия мерзляк номер 534. Мерзляк 8 класс 533. Решение уравнений 8 класс алгебра мерзляк. Контрольная по алгебре 8 класс мерзляк.
Учебник по алгебре 8 класс мерзляк фото. Геометрия 8 класс мерзляк. Мерзляк 8 класс 533. Алгебра восьмой класс мерзляк номер 533. Мерзляк 8 класс 533.
Учебник по алгебре 8 класс мерзляк фото. Геометрия 8 класс мерзляк. Мерзляк 8 класс 533. Алгебра восьмой класс мерзляк номер 533. Мерзляк 8 класс 533.
Гдз по математике номер 533. Геометрия 8 класс мерзляк номер 534. Мерзляк 8 класс 533. Математика 5 класс 420 страница кыргыз. Учебник по алгебр4 8 класс мерзляк.
Гдз по математике номер 533. Геометрия 8 класс мерзляк номер 534. Мерзляк 8 класс 533. Математика 5 класс 420 страница кыргыз. Учебник по алгебр4 8 класс мерзляк.
Впр по алгебре 8 класс мерзляк. Алгебра 8 класс мерзляк номер 350. Мерзляк 8 класс 533. Алгебра 8 класс полонский. Упр 147 алгебра 8 дорофеев.
Впр по алгебре 8 класс мерзляк. Алгебра 8 класс мерзляк номер 350. Мерзляк 8 класс 533. Алгебра 8 класс полонский. Упр 147 алгебра 8 дорофеев.
Номера учебника 8 класса по алгебре мерзляк. Гдз 147 алгебра. Рабочая тетрадь 8 класс к учебнику мерзляк. Мерзляк впр. Математика 5 класс 533.
Номера учебника 8 класса по алгебре мерзляк. Гдз 147 алгебра. Рабочая тетрадь 8 класс к учебнику мерзляк. Мерзляк впр. Математика 5 класс 533.
Мерзляк 8 класс 533. Мерзляк 8 класс 533. Формула по алгебре 8 класс мерзляк полонский. Мерзляк 8 класс 533. Геометрия 8 номер 534.
Мерзляк 8 класс 533. Мерзляк 8 класс 533. Формула по алгебре 8 класс мерзляк полонский. Мерзляк 8 класс 533. Геометрия 8 номер 534.
Гдз по алгебре 8 класс мерзляк. Алгебра 7 класс мерзляк 1035. Математика 6 класс мерзляк 533. Мерзляк 8 класс 533. Мерзляк 8 класс 533.
Гдз по алгебре 8 класс мерзляк. Алгебра 7 класс мерзляк 1035. Математика 6 класс мерзляк 533. Мерзляк 8 класс 533. Мерзляк 8 класс 533.
Пособия по алгебре 8 класс мерзляк репетитор. Контрольные и самостоятельные по алгебре 8 класс мерзляк. Формула по алгебре 8 класс мерзляк полонский. Мерзляк 8 класс 533. Рабочая тетрадь по геометрии 7 класс.
Пособия по алгебре 8 класс мерзляк репетитор. Контрольные и самостоятельные по алгебре 8 класс мерзляк. Формула по алгебре 8 класс мерзляк полонский. Мерзляк 8 класс 533. Рабочая тетрадь по геометрии 7 класс.
Мерзляк 8 класс 533. Алгебра 7 класс номер 1035. Алгебра 8 класс номер 109. Математика 5 класс 2 часть номер 533. Мерзляк 8 класс 533.
Мерзляк 8 класс 533. Алгебра 7 класс номер 1035. Алгебра 8 класс номер 109. Математика 5 класс 2 часть номер 533. Мерзляк 8 класс 533.
Алгебра 8 класс мерзляк рабочая тетрадь. Рабочая тетрадь по геометрии 7 класс. Математика 5 класс 533. Контрольные и самостоятельные по алгебре 8 класс мерзляк. Учебник по алгебр4 8 класс мерзляк.
Алгебра 8 класс мерзляк рабочая тетрадь. Рабочая тетрадь по геометрии 7 класс. Математика 5 класс 533. Контрольные и самостоятельные по алгебре 8 класс мерзляк. Учебник по алгебр4 8 класс мерзляк.
Контрольная по алгебре 8 класс мерзляк. Алгебра 7 класс мерзляк 1035. Мерзляк 8 класс 533. Гдз геометрия 8 класс мерзляк. Рабочая тетрадь 8 класс к учебнику мерзляк.
Контрольная по алгебре 8 класс мерзляк. Алгебра 7 класс мерзляк 1035. Мерзляк 8 класс 533. Гдз геометрия 8 класс мерзляк. Рабочая тетрадь 8 класс к учебнику мерзляк.